DeepSeek la IA China detrás de los 600mil MDD que perdió NVIDIA
Una startup ha sacudido los cimientos de gigantes como OpenAI y NVIDIA, los ojos están puestos en el futuro de la IA. OpenAI y la hegemonía puesta en jaque DeepSeek-R1 La sacudida de NVIDIA: ¿Cómo perdieron 600mil millones? Modelos de razonamiento: ¿Qué los hace especiales?
Cómo una startup emergente ha sacudido los cimientos de gigantes como OpenAI y NVIDIA, y por qué todos los ojos están puestos en el futuro de la inteligencia artificial.
Índice
- El estallido de una nueva era
- El nacimiento de DeepSeek
- OpenAI y la hegemonía puesta en jaque
- DeepSeek-R1: Un modelo de razonamiento disruptivo
- La gran sacudida de NVIDIA: ¿Cómo perdieron 600 mil millones de dólares?
- Modelos de razonamiento avanzado: ¿Qué los hace tan especiales?
- Reacciones globales: Ecos en las redes y en el poder
- Perspectivas a futuro: Impacto en la educación, la economía y la sociedad
- Conclusión: Un cambio de paradigma ineludible
- Referencias
1. El estallido de una nueva era
“Cuando una pequeña chispa desencadena un incendio, el mundo no puede ignorarlo.”
A lo largo de la última década, hemos sido testigos de una aceleración vertiginosa en el campo de la inteligencia artificial (IA). Desde algoritmos capaces de reconocer rostros con precisión sobrehumana, hasta sistemas de generación de textos que parecen casi indistinguibles de la pluma humana, el avance de la IA ha sido motivo de fascinación y controversia.
Sin embargo, en enero de 2025 ocurrió un suceso inesperado que cambió las reglas del juego: la startup china DeepSeek lanzó un modelo de razonamiento avanzado, DeepSeek-R1, que no solo prometía competir con gigantes como OpenAI, sino que también se atrevía a desafiarlos en términos de eficiencia, colaboración y costo. Lo que siguió fue una sacudida sísmica en el mercado tecnológico, evidenciada por la caída en las acciones de NVIDIA y la sorpresiva reacción de figuras de alto perfil como Sam Altman y Donald Trump.
Acompáñanos a lo largo de esta historia donde desgranaremos la influencia de DeepSeek-R1 y el potencial que encierra una IA verdaderamente democratizada. Este es un viaje que une al “David” de la tecnología con los “Goliat” de Silicon Valley, en un choque que ya está reescribiendo la historia de la inteligencia artificial.

2. El nacimiento de DeepSeek
2.1 El origen de la visión
En 2023, Liang Wenfeng, un exinvestigador de Alibaba, se planteó una pregunta fundamental: “¿Por qué la inteligencia artificial de alta gama sigue siendo tan inaccesible para la mayoría del mundo?”. Con esta reflexión en mente, Wenfeng renunció a su posición y decidió fundar DeepSeek en la ciudad de Hangzhou, una metrópolis que poco a poco se ha convertido en un polo tecnológico de China.
La motivación principal detrás de DeepSeek fue la de crear modelos de IA que no exigieran inversiones millonarias en infraestructura, poniendo de relieve la idea de que la innovación no depende exclusivamente de presupuestos masivos, sino de la capacidad de encontrar nuevas vías de colaboración y optimización.
2.2 Financiamiento y espíritu colaborativo
A diferencia de OpenAI —respaldada con miles de millones de dólares provenientes de gigantes como Microsoft—, DeepSeek inició su aventura con apenas 5.6 millones de dólares. Este capital fue obtenido en su mayoría a través de crowdfunding y colaboraciones con universidades chinas, que vieron en el proyecto una oportunidad para avanzar el estado del arte de la IA de forma abierta.
- Primeros pasos: Los primeros prototipos se desarrollaron en entornos académicos y se probaron en laboratorios universitarios en China.
- El factor open source: DeepSeek apostó desde el primer día por un modelo de desarrollo abierto, invitando a la comunidad global a contribuir. En poco tiempo, más de 3,000 desarrolladores en todo el mundo se sumaron a esta iniciativa.
Con esos mimbres, la empresa avanzó sin hacer demasiado ruido, hasta que el 20 de enero de 2025 publicó su primer gran logro: el modelo DeepSeek-R1, diseñado para tareas de inferencia lógica y resolución de problemas complejos.
3. OpenAI y la hegemonía puesta en jaque
3.1 Una mirada a los modelos o1 y o3
Desde sus inicios, OpenAI ha sido la compañía a batir en lo que respecta a modelos de lenguaje e IA de alto rendimiento. Sus modelos o1 y o3, lanzados en 2024 y basados en GPT-4, elevaron los estándares de la industria, destacando en razonamiento profundo y generación de textos con alto grado de coherencia.
- OpenAI o1
- Lanzado en septiembre de 2024.
- Especializado en inferencia y resolución de problemas complejos.
- Costo por millón de tokens de entrada: 15 USD.
- Costo por millón de tokens de salida: 60 USD.
- OpenAI o3
- Presentado en diciembre de 2024.
- Versión optimizada de o1, con mayor eficiencia energética y enfoque en tareas específicas.
Estos desarrollos colocaron a OpenAI en una posición casi hegemónica, con pocas empresas capaces de competir de tú a tú, sobre todo por la infraestructura costosa que exigen estos modelos.
OpenAI o1-preview and o1-mini are rolling out today in the API for developers on tier 5.
— OpenAI Developers (@OpenAIDevs) September 12, 2024
o1-preview has strong reasoning capabilities and broad world knowledge.
o1-mini is faster, 80% cheaper, and competitive with o1-preview at coding tasks.
More in https://t.co/l6VkoUKFla. https://t.co/moQFsEZ2F6
3.2 Las limitaciones de los gigantes
A pesar de sus éxitos, los modelos de OpenAI han sido criticados por varios frentes:
- Elevados costos de implementación: El acceso a estos modelos sigue siendo prohibitivo para startups y países con recursos limitados.
- Dependencia de infraestructura: Se necesitan centros de datos y GPUs de alta gama (como NVIDIA H100) para un rendimiento óptimo.
- Falta de apertura: Aunque OpenAI se define como una compañía orientada al beneficio de la humanidad, la mayoría de sus desarrollos recientes se han mantenido cerrados o con licencias restrictivas.
Fue en este contexto de altos costos y concentración de poder tecnológico que irrumpió DeepSeek-R1, ofreciendo un enfoque más ligero y abierto.
4. DeepSeek-R1: Un modelo de razonamiento disruptivo
4.1 Costos comparativos y accesibilidad
La primera gran diferencia que atrajo la atención de la comunidad tecnológica fue la disparidad en los costos por millón de tokens entre OpenAI y DeepSeek:
| Característica | OpenAI o1 | DeepSeek-R1 |
|---|---|---|
| $/Millón de tokens, entrada | 15 USD | 0.14 USD |
| $/Millón de tokens, salida | 60 USD | 2.20 USD |
Esta diferencia abismal de costos democratiza el acceso a la IA, abriendo la puerta a pequeñas empresas, gobiernos locales y centros de investigación con presupuestos reducidos.
4.2 Tecnología: Del “mixture of experts” al open source
La tecnología detrás de DeepSeek-R1 se fundamenta en dos pilares:
- Arquitectura con “mixture of experts”
DeepSeek-R1 utiliza un sistema que activa solo los módulos necesarios para resolver cada problema específico. Esto implica un uso más eficiente de los recursos de cómputo y un consumo energético muy inferior al de otros modelos de gran escala. - Enfoque open source
Desde el momento de su lanzamiento, DeepSeek-R1 se ofreció con una licencia abierta, alentando a desarrolladores de todo el mundo a mejorar y expandir el modelo. Este espíritu comunitario contrasta con la trayectoria más cerrada de los modelos de OpenAI.

5. La gran sacudida de NVIDIA: ¿Cómo perdieron 600 mil millones de dólares?
5.1 Un mercado volátil
La presentación de DeepSeek-R1 provocó un terremoto en la bolsa: NVIDIA, la compañía líder en fabricación de chips para IA, sufrió una pérdida del 12% en sus acciones en los días posteriores al anuncio, equivalentes a unos 600 mil millones de dólares en valor de mercado.

¿Por qué un modelo desarrollado con tecnología de NVIDIA tuvo un impacto negativo en sus acciones? En un primer momento resulta paradójico, pero la lógica detrás es clara: DeepSeek demostró que se pueden lograr resultados sobresalientes sin depender de los chips más costosos (como el H100), apostando por soluciones más baratas (H800) y un diseño inteligente de software.
5.2 Punto de inflexión: democratización del hardware
Para muchos analistas, la caída de NVIDIA marcó un antes y un después en la industria, reafirmando la tendencia hacia la democratización del hardware. Se abre un horizonte donde, gracias a la optimización del software, es viable competir al más alto nivel sin incurrir en gastos exorbitantes en infraestructura.
6. Modelos de razonamiento avanzado: ¿Qué los hace tan especiales?
6.1 Diferencias clave frente a los modelos estándar
Los modelos de lenguaje convencionales se concentran en tareas como generación de texto, análisis de sentimientos o traducción automática. En cambio, los modelos de razonamiento avanzado como DeepSeek-R1, o1 y o3 dan un paso más allá, integrando procesos lógicos que emulan la forma en que un humano reflexionaría sobre un problema:
- Inferencia y deducción lógica: Dividen problemas complejos en pasos manejables.
- Aprendizaje iterativo: Analizan errores pasados para refinar sus resultados futuros.
- Pensamiento abstracto y creativo: Son capaces de resolver acertijos, problemas matemáticos avanzados e incluso tareas de programación competitiva.
6.2 Campos de aplicación y ejemplos concretos
- Resolución de problemas matemáticos: DeepSeek-R1 puede abordar ecuaciones avanzadas o teoremas con múltiples pasos de razonamiento.
- Programación y depuración de código: Resulta de gran ayuda para ingenieros de software en la identificación y corrección de bugs.
- Diagnóstico médico: Aunque aún está en fases iniciales, la lógica avanzada podría aplicarse en el análisis de síntomas complejos.
- Toma de decisiones estratégicas: Organizaciones financieras y consultoras podrían utilizar estos modelos para simular escenarios y predecir comportamientos de mercado.
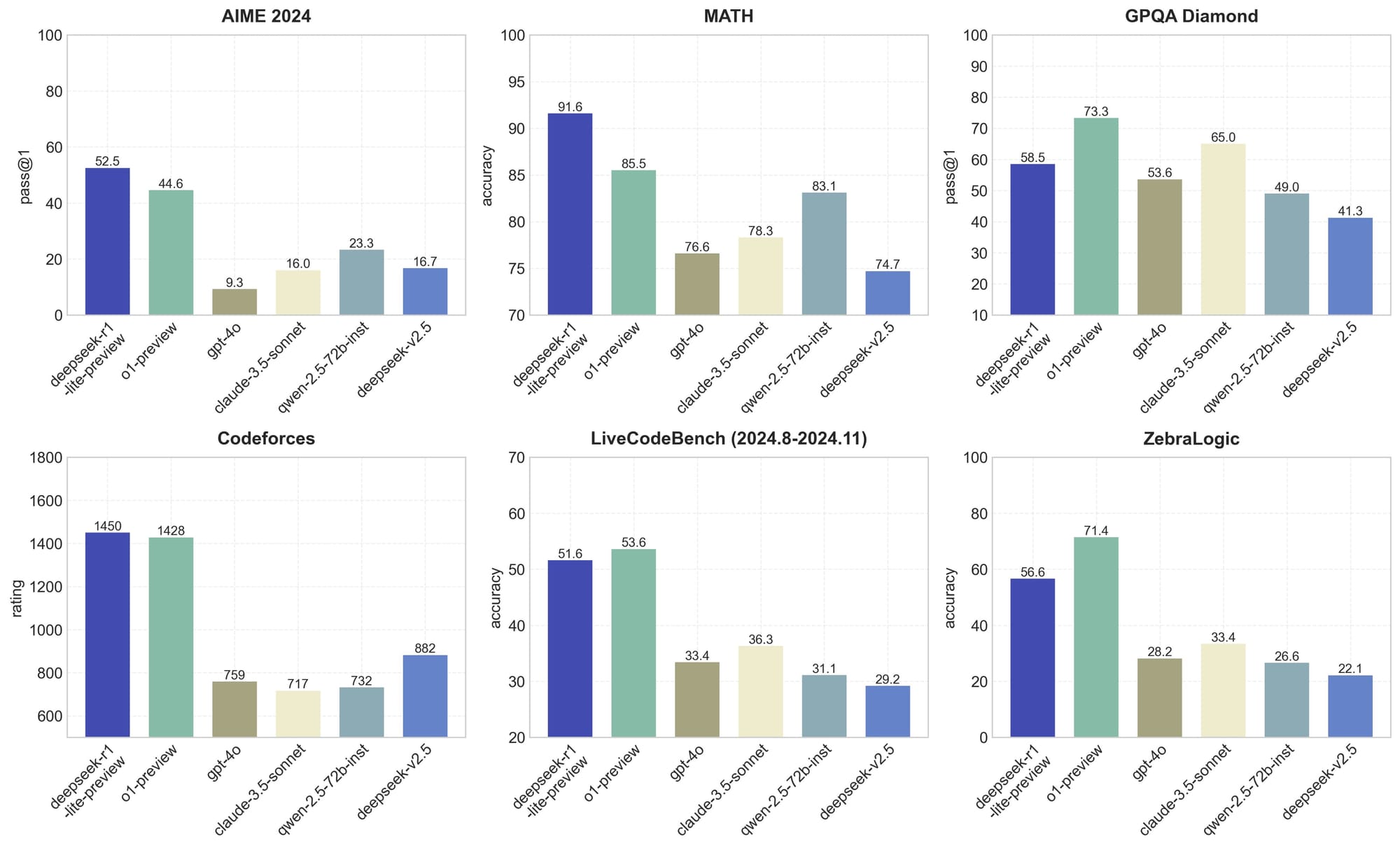
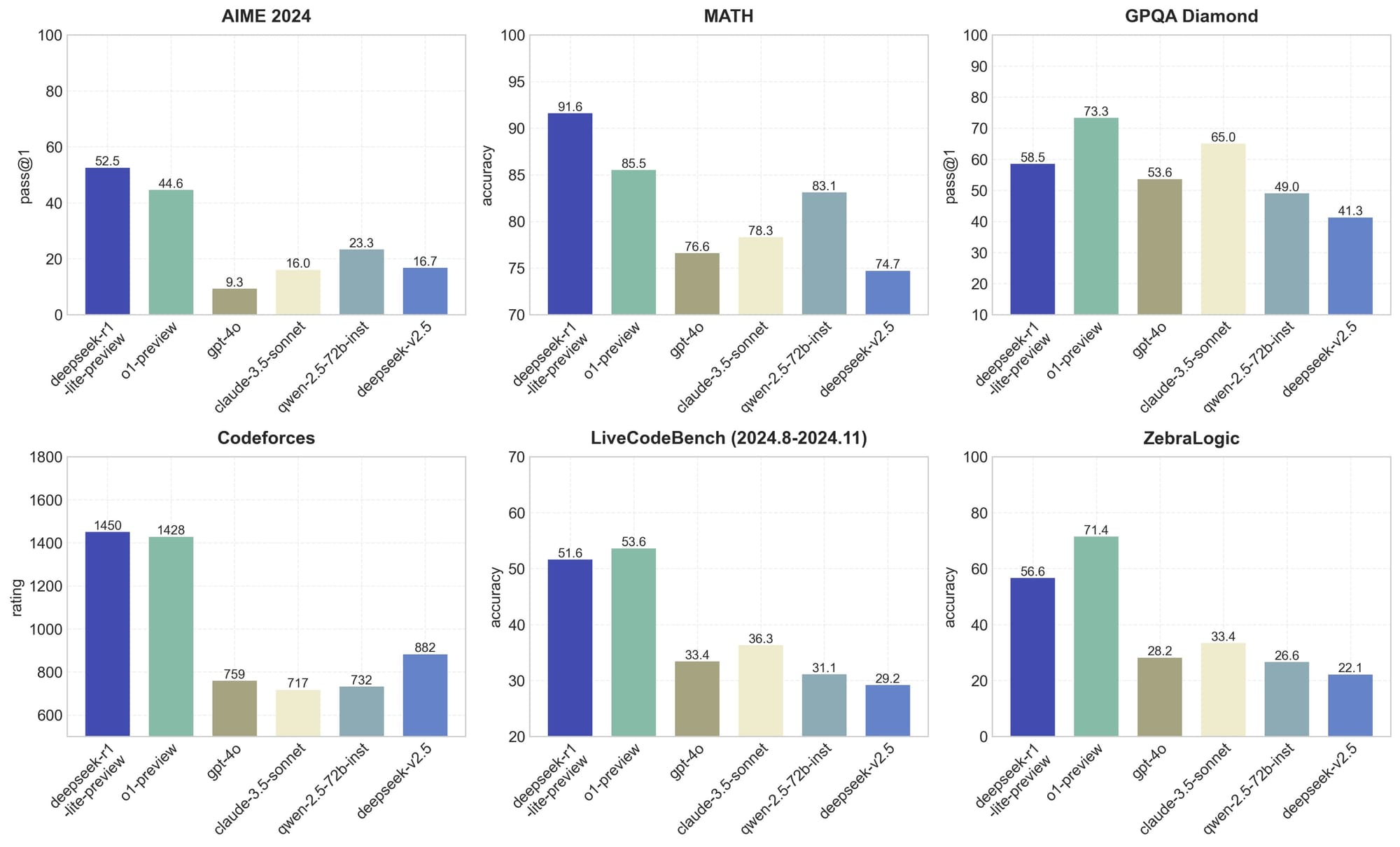
6.3 Benchmarks y comparativas: o1, o3 y DeepSeek-R1
Para medir la efectividad de estos modelos, se emplean benchmarks específicos que evalúan la capacidad de razonamiento:
- SW Bench Verified: Puntúa la precisión en inferencia avanzada.
- Frontier Math: Mide las aptitudes matemáticas complejas.
- ARC (Abstraction and Reasoning Corpus): Valora la capacidad del modelo para razonamientos abstractos y creativos.
En pruebas realizadas en 2025, o3 de OpenAI alcanzó un 87.5% en ARC, superando por un margen mínimo el rendimiento humano estándar (85%). DeepSeek-R1, pese a su menor coste de entrenamiento, registró un 85.2% en el mismo benchmark, un logro impresionante para un modelo de tan bajo presupuesto.

7. Reacciones globales: Ecos en las redes y en el poder
El acontecimiento no pasó desapercibido en redes sociales y medios tradicionales. Algunas figuras destacadas dejaron constancia de su opinión en Twitter:
Sam Altman (@sama) - CEO de OpenAI
"DeepSeek's latest model is impressive. We're accelerating our efforts to bring even better models to the world."
— 28 de enero de 2025
Marc Andreessen (@pmarca) - Cofundador de Andreessen Horowitz
"The open-source approach of DeepSeek could redefine the AI landscape. Exciting times ahead."
— 27 de enero de 2025
Yann LeCun (@ylecun) - Científico jefe de IA en Meta
"DeepSeek demonstrates that innovation doesn't always require massive budgets. Kudos to the team!"
— 27 de enero de 2025
Alexandr Wang (@alexandr_wang) - CEO de Scale AI
"DeepSeek's R1 model is a wake-up call for the AI industry. We need to rethink our strategies."
— 28 de enero de 2025
Donald Trump (@realDonaldTrump) - Presidente de los Estados Unidos
"DeepSeek's AI chatbot is a wake-up call for Silicon Valley. We must stay competitive!"
— 28 de enero de 2025
Con estas declaraciones, personalidades de distintas esferas —tecnología, inversión y política— se pronunciaron, dejando claro que DeepSeek-R1 había capturado la atención mundial.
8. Perspectivas a futuro: Impacto en la educación, la economía y la sociedad
8.1 Transformación en la formación de talento
La disponibilidad de un modelo open source y de bajo coste puede revolucionar la forma en que las universidades y escuelas técnicas abordan la formación en IA. En lugar de limitarse a teorías y a simulaciones modestas, podrían usar DeepSeek-R1 como base para proyectos de investigación y prácticas de laboratorio avanzadas, fomentando una generación de profesionales altamente cualificados.
8.2 Nuevos modelos de negocio y colaboración
La entrada de DeepSeek-R1 al mercado demuestra la viabilidad de proyectos escalables sin requerir inversiones prohibitivas. Empresas emergentes podrían lanzarse a desarrollar soluciones sobre la base de DeepSeek-R1, ofreciendo servicios de análisis de datos, atención al cliente y optimización logística a un costo competitivo. Además, el carácter open source estimula la colaboración global, reduciendo la brecha entre las grandes corporaciones y las pequeñas startups.
8.3 La geopolítica de la IA
El éxito de DeepSeek-R1, nacido en China, subraya un reequilibrio en la carrera tecnológica global. Estados Unidos mantiene su hegemonía gracias a compañías como OpenAI y NVIDIA, pero la irrupción de DeepSeek pone de relieve que el monopolio de la innovación podría empezar a fragmentarse. Europa, Asia y Latinoamérica también miran con interés la posibilidad de adoptar modelos más accesibles y abiertos.
9. Conclusión: Un cambio de paradigma ineludible
El surgimiento de DeepSeek-R1 es mucho más que un logro tecnológico. Representa un hito que rompe la barrera psicológica de que solo los grandes capitales pueden dar forma al futuro de la inteligencia artificial. En un entorno donde el precio de la innovación parecía inalcanzable, DeepSeek está sentando un precedente poderoso:
- Eficiencia y sostenibilidad: Se puede alcanzar un alto rendimiento sin gastar miles de millones.
- Colaboración universal: La unión de talento global puede derribar muros establecidos por los gigantes tecnológicos.
- Alternativas reales: Gobiernos, empresas y universidades comienzan a ver viable el uso de modelos razonantes sin depender de los altos costos de licenciamiento.
La moraleja de esta historia se resume en la idea de que, a pesar de los presupuestos limitados, la pasión por innovar, el ingenio técnico y la colaboración abierta pueden hacer tambalear a los gigantes. El futuro de la IA será moldeado no solo por la escala, sino también por la versatilidad, la apertura y la visión de aquellos que buscan ampliar las fronteras de lo posible.
10. Referencias
- DeepSeek (2025). DeepSeek-R1 Official Press Release.
- OpenAI (2024). o1 y o3 Launch Announcements.
- NVIDIA (2025). Market Response and Investor Relations Data.
- ARC Benchmark (s.f.). Abstraction and Reasoning Corpus.
- SW Bench Verified & Frontier Math (s.f.). Documentación Oficial.
Los datos de costos, fechas y reacciones provienen de comunicados de prensa oficiales y publicaciones en redes sociales de los ejecutivos involucrados al momento de la publicación.